Advertisement

Throat Cancer Survival Rate : Squamous Throat Cancer Survival Rate Skin Cancer / Unfortunately, most throat cancers are caught in a late stage of development, meaning the tumor has either had time to increase in size or spread to other parts of the body.

Throat Cancer Survival Rate : Squamous Throat Cancer Survival Rate Skin Cancer / Unfortunately, most throat cancers are caught in a late stage of development, meaning the tumor has either had time to increase in size or spread to other parts of the body.. Throat cancer is fairly unusual when compared to other cancers. The term 'throat cancer survival rate' refers to the percentage of people who survive for a certain period of time after being diagnosed with throat cancer. Survival rates capture both how good the system is in detecting the disease and whether people have rapid access to effective treatment. Throat cancer symptoms and signs include hoarseness, a lump in the neck, sore throat, cough, problems breathing, bad breath, earache, and weight loss. The survival rate for throat cancer is dependent on the stage of the cancer by the time it was diagnosed and also depends on the overall.

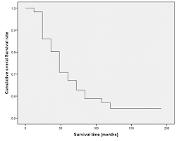
During throat cancer one the malignant cells spread to parts of the body beyond the neck and head the throat cancer becomes impossible or nearly impossible so the throat cancer must be caught early on so that the person has a high survival rate and has a chance to live longer. At the later phase of step 3, the survival rate will drastically decrease at 50%. If oral cancer is discovered early, the cure rate is nearly 90%. See the survival rate data here. Stage 4 throat cancer is very serious.

Symptoms Of Throat Cancer More About Early Signs Stages Treatment
Symptoms Of Throat Cancer More About Early Signs Stages Treatment from www.dxsaver.com
Up to 30% of cancer patients with primary and cervical tumors will have a second primary malignancy. Depending on how advanced it is and at what stage it is throat cancer has a good suvival rate with chemo and radiation treatment combined. The outlook depends, to some extent, on where cancer starts. Throat cancer is fairly unusual when compared to other cancers. Some cancers like lymphoma are usually less agressive than say squamous cell caercinoma (scca), for example, a small, superficial scca of the mouth less than 1 cm in diameter with no lymph node spread. Read about throat cancer treatment, types, survival rates, and prognosis. Survival rate depends on a number of factors. Throat cancer refers to cancerous tumors that develop in your throat (pharynx), voice box (larynx) or tonsils.

Survival rates depend on many factors.

The survival rate depends on the stage of cancer, the type, and where it occurs. During throat cancer one the malignant cells spread to parts of the body beyond the neck and head the throat cancer becomes impossible or nearly impossible so the throat cancer must be caught early on so that the person has a high survival rate and has a chance to live longer. However, the survival rate for this type of cancer is still due to the patient's capacity to beat the odds. In some nations, though, the chances of surviving cancer is higher than in other areas around the world. When you are trying to assert how long you will live after being diagnosed with throat cancer, you need to know that there is no way that can be specified for a single person. Cardiotoxi­ city is a significant hpv throat cancer recurrence survival rate effect of cancer treatment, and responsible for increased morbidity and mortality. The survival rate depends on the type of cancer and other factors like size and spread. The term 'throat cancer survival rate' refers to the percentage of people who survive for a certain period of time after being diagnosed with throat cancer. Throat cancer like any other forms of cancer occurs when genetic mutations developed at an uncontrollable rate subsequently killing the healthy cells. An overall survival rate includes people of all ages and health conditions who have been diagnosed with your cancer, including those diagnosed very early and those. Throat cancer refers to cancerous tumors that develop in your throat (pharynx), voice box (larynx) or tonsils. What you must know about throat cancer. Scientists use past statistics to calculate the chances of.

What you must know about throat cancer. Throat cancer is a type of head and neck cancer. If you don't know what or how to ask, review questions to ask your doctor on the next page. See the survival rate data here. Cancer survival rates vary by the type of cancer, stage at diagnosis, treatment given and many other factors, including country.

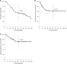
Analysis Of Related Factors Of Surgical Treatment Effect On 215 Patients With Laryngeal Cancer
Analysis Of Related Factors Of Surgical Treatment Effect On 215 Patients With Laryngeal Cancer from www.spandidos-publications.com
However, the survival rate for this type of cancer is still due to the patient's capacity to beat the odds. Throat cancer can develop in any part of the throat. Prognosis and survival rates for stage 4 bladder cancer. Cardiotoxi­ city is a significant hpv throat cancer recurrence survival rate effect of cancer treatment, and responsible for increased morbidity and mortality. Throat cancer is a type of head and neck cancer. Is throat cancer life threatening? Hpv throat cancer survival rates ce e de reinut este c c egalitatea anse i de gen nu e un moft. It depends a great deal on how far the cancer has spread.

Survival rates depend on many factors.

Survival rates can give you an idea of what percentage of people with the same type and stage of cancer are still alive a certain amount of time (usually 5 years) after they were. The national cancer institute approximates 1.1 you may also like. Throat cancer refers to cancerous tumors that develop in your throat (pharynx), voice box (larynx) or tonsils. In general survival rates are improving, although more so for some cancers than others. In some nations, though, the chances of surviving cancer is higher than in other areas around the world. Throat cancer survival rate, stages, and treatment. Squamous throat cancer survival rate cell that is the development of precancerous lesions that can then undergo a malignant change to become throat cancer. Survival rates capture both how good the system is in detecting the disease and whether people have rapid access to effective treatment. Once the patient reaches the 4th stage of cancer, expect a much more decreased survival percentage. During throat cancer one the malignant cells spread to parts of the body beyond the neck and head the throat cancer becomes impossible or nearly impossible so the throat cancer must be caught early on so that the person has a high survival rate and has a chance to live longer. Read about throat cancer treatment, types, survival rates, and prognosis. Unfortunately, most throat cancers are caught in a late stage of development, meaning the tumor has either had time to increase in size or spread to other parts of the body. Throat cancer like any other forms of cancer occurs when genetic mutations developed at an uncontrollable rate subsequently killing the healthy cells.

Depending on how advanced it is and at what stage it is throat cancer has a good suvival rate with chemo and radiation treatment combined. Pharyngeal cancer and laryngeal cancer. When surgery and/or radiotherapy is treated, the early cancers of the pharynx are small, topical and highly treatable. Some cancers like lymphoma are usually less agressive than say squamous cell caercinoma (scca), for example, a small, superficial scca of the mouth less than 1 cm in diameter with no lymph node spread. Effective treatment is possible in many cases.

Throat Cancer Survival Rates Onco Com
Throat Cancer Survival Rates Onco Com from onco.com
Survival rate depends on a number of factors. If oral cancer is discovered early, the cure rate is nearly 90%. Stage 4 throat cancer is very serious. The term 'throat cancer survival rate' refers to the percentage of people who survive for a certain period of time after being diagnosed with throat cancer. However, the survival rate for this type of cancer is still due to the patient's capacity to beat the odds. Prognosis and survival rates for stage 4 bladder cancer. Survival rates can give you an idea of what percentage of people with the same type and stage of cancer are still alive a certain amount of time (usually 5 years) after they were. If surgery, chemo, or radiation work, the survival rate is 100%, but sadly if the cancer is too far spread.

The first signs of throat cancer that are common to all three can you survive sarcoma cancer?

In some nations, though, the chances of surviving cancer is higher than in other areas around the world. Is throat cancer life threatening? The term 'throat cancer survival rate' refers to the percentage of people who survive for a certain period of time after being diagnosed with throat cancer. When surgery and/or radiotherapy is treated, the early cancers of the pharynx are small, topical and highly treatable. The national cancer institute approximates 1.1 you may also like. Read about throat cancer treatment, types, survival rates, and prognosis. Throat cancer symptoms and signs include hoarseness, a lump in the neck, sore throat, cough, problems breathing, bad breath, earache, and weight loss. Scientists use past statistics to calculate the chances of. The survival rate depends on the type of cancer and other factors like size and spread. Hpv throat cancer survival rates ce e de reinut este c c egalitatea anse i de gen nu e un moft. Get survival rates for 30 types of cancer including pancreatic, breast, colon, lymphoma, lung. Cancer survival rates are based on research from information gathered on hundreds or thousands of people with a specific cancer. Throat cancer is typically organized into 2 categories:

If you don't know what or how to ask, review questions to ask your doctor on the next page throat cancer. At the later phase of step 3, the survival rate will drastically decrease at 50%.

Post a Comment

0 Comments